Tháng 8/2024 UBND Thành phố Thủ Dầu Một đã chính thức phê duyệt Đồ án quy hoạch chi tiết tỷ lệ 1/500 cho dự án NOXH Hòa Phú (tên thương mại là dự án K Home New City), do Công ty CP Đầu tư Xây dựng Công nghiệp Nam Kim (thành viên Tập đoàn Kim Oanh Group) làm chủ đầu tư với tổng vốn đầu tư 2.725 tỷ đồng, cung cấp hơn 3000 sản phẩm nhà ở gồm, nhà ở xã hội liền kề, chung cư nhà ở xã hội và nhà ở thương mại liền kề.

QUY HOẠCH CHI TIẾT 1/500 DỰ ÁN NHÀ Ở XÃ HỘI HÒA PHÚ
![]()


















THỦ DẦU MỘT PHÊ DUYỆT QUY HOẠCH 1/500 DỰ ÁN NOXH HÒA PHÚ
![]()
UBND TP. Thủ Dầu Một (Bình Dương) đã có quyết định về việc phê đồ án quy hoạch chi tiết tỷ lệ 1/500 dự án đầu tư xây dựng nhà ở xã hội Hoà Phú (dự án NOXH Hòa Phú) phường Hòa Phú thành phố Thủ Dầu Một Bình Dương (thành phố mới Bình Dương).
Theo quyết định ngày 29/08/2024, dự án có diện tích lập quy hoạch 266.968,7m² (quy mô diện tích gần 27 ha – quy mô dân số: 8.285 người), được quy hoạch phát triển thành khu nhà ở xã hội xây dựng mới, tạo quỹ nhà ở đáp ứng nhu cầu cho người dân có thu nhập thấp, các chuyên gia, công nhân sinh sống và làm việc tại khu vực với các hạng mục nhà ở dạng nhà ở xã hội và nhà ở thương mại, trường học, công trình thương mại – dịch vụ, các khu công viên cây xanh. Hệ thống hạ tầng kỹ thuật, hạ tầng xã hội xây dựng hoàn chỉnh đồng bộ, gắn kết với các khu vực lân cận.
(Xem văn bản Quyết định phía dưới cuối bài viết này).
VỊ TRÍ & RANH GIỚI DỰ ÁN NOXH HÒA PHÚ
![]()

Vị trí quỹ đất lập quy hoạch 1/500 dự án NOXH Hòa Phú (K Home New City) có 4 mặt tiếp giáp chi tiết:
- Phía Đông giáp: đường D2 (theo QH KCN Phú Tân), đường D5 (theo QHC Khu Liên hợp), KCN Phú Tân;
- Phía Tây giáp: hành lang đường điện 110kV, kênh đô thị Hòa Lợi.
- Phía Nam giáp: KCN Phú Tân, đường số 8-VSIP (Theo QHC Khu Liên hợp);
- Phía Bắc giáp: KCN Phú Tân, đường Lê Lai (đường N14 Khu Liên hợp);
MỤC TIÊU THỰC HIỆN DỰ ÁN
![]()
Bản đồ quy hoạch chi tiết tỷ lệ 1/500 dự án NOXH Hòa Phú cũng nêu rõ 4 mục tiêu quan trọng của dự án:
- Xây dựng khu nhà ở xã hội hoàn chỉnh phục vụ nhu cầu cho đối tượng người dân có thu nhập thấp, các chuyên gia, công nhân tại Khu công nghiệp Phú Tân nói riêng và Khu Liên hợp Công nghiệp – Dịch Vụ – Đô thị Bình Dương nói chung.
- Thực thi chủ trương xã hội hóa của tỉnh; Tăng cường đầu tư và quản lý các công trình hạ tầng xã hội theo hướng bền vững cũng như góp phần tăng giá trị quỹ đất khu vực; tái tạo, khai thác quỹ đất để sử dụng có hiệu quả hơn.
- Xác lập hệ thống hạ tầng kỹ thuật bao gồm: Giao thông, cấp điện, cấp nước, thoát nước, vệ sinh môi trường, … đảm bảo đúng tiêu chuẩn của khu chức năng và đấu nối với hệ thống khu vực xung quanh.
- Cụ thể hóa định hướng theo quy hoạch chung, quy hoạch phân khu được phê duyệt và chủ trương đầu tư Dự án đầu tư xây dựng nhà ở xã hội Hòa Phú theo Quyết định chấp thuận chủ trương đầu tư đồng thời chấp thuận nhà đầu tư số 808/QĐ-UBND ngày 29/3/2024 của UBND tỉnh Bình Dương.
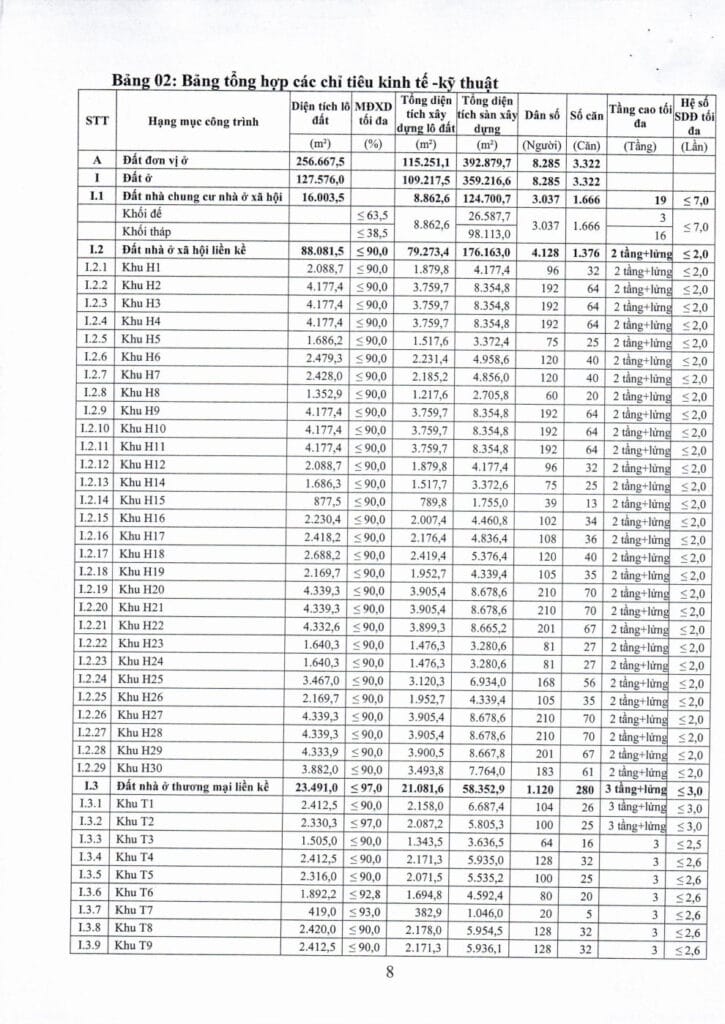
CÁC HẠNG MỤC NHÀ Ở CỦA DỰ ÁN
![]()
Dự án có mật độ xây dựng tối đa 50,0%, tầng cao tối đa 19 tầng, chiều cao tối đa 90,0m và hệ số sử dụng đất tối đa3,0 lần (các hệ số áp dụng cho toàn khu). Diện tích: 266.968,7m², quy mô dân số: 8.285 người.

Bao gồm các hạng mục:
CHUNG CƯ NHÀ Ở XÃ HỘI (CAO TẦNG)
- Tổng diện tích lô đất xây dựng: 16.003,5m²
- Diện tích sử dụng mỗi căn hộ: 25m² ÷ 70m²
- Mật độ xây dựng tối đa khối đế ( ≤ 3 tầng): 63,5%
- Mật độ xây dựng tối đa khối tháp (≤ 16 tầng): 38,5%
- Tầng cao xây dựng tối đa: 19 tầng
- Chiều cao xây dựng tối đa khối đế (3 tầng):15,0m
- Chiều cao xây dựng tối đa khối tháp (đã bao gồm khối đế): 90,0m
- Hệ số sử dụng đất tối đa: 7 lần
- Tỷ lệ đất cây xanh tối thiểu: 20%
- Khoảng lùi xây dựng tối thiểu: 6m
NHÀ Ở XÃ HỘI LIỀN KẾ (NHÀ PHỐ)
- Tổng diện tích đất xây dựng: 88.081,5m2
- Diện tích thửa đất: 60,0 ÷ 69,6 m2/thửa
- Mật độ xây dựng: thực hiện theo Bảng 2.8 Mục 2.6.3 QCVN 01:2021/BXD
- Tầng cao xây dựng tối đa: 2 tầng + lửng
- Chiều cao xây dựng tối đa: 15,0m
- Hệ số sử dụng đất tối đa: 2,0 lần
- Khoảng lùi xây dựng: khoảng lùi trước 0,0 ÷ 2,0m; khoảng lùi sau tối thiểu 1m
NHÀ Ở THƯƠNG MẠI LIỀN KỀ (NHÀ PHỐ)
- Tổng diện tích đất xây dựng: 23.491,0m²
- Diện tích thửa đất: 67,5 ÷ 142,0 m2/thửa
- Mật độ xây dựng: thực hiện theo Bảng 2.8 Mục 2.6.3 của QCVN 01:2021
- Tầng cao xây dựng tối đa: 3 tầng + lửng
- Chiều cao xây dựng: < 19m
- Hệ số sử dụng đất tối đa: 3 lần
- Khoảng lùi xây dựng: khoảng lùi trước 0,0 ÷ 2,4m; khoảng lùi sau tối thiểu 1m
CÁC CÔNG TRÌNH & HẠNG MỤC CƠ SỞ HẠ TẦNG XÃ HỘI
ĐẤT XÂY DỰNG THƯƠNG MẠI & DỊCH VỤ
- Diện tích đất thương mại – dịch vụ: 2.009,2 m²/công trình
- Mật độ xây dựng tối đa: 40,0%
- Tầng cao xây dựng tối đa: 3 tầng
- Chiều cao xây dựng : < 19m
- Hệ số sử dụng đất tối đa: 1,2 lần
- Khoảng lùi xây dựng tối thiểu: 1m
CÁC HẠNG MỤC VỀ PHÁT TRIỂN GIÁO DỤC (TRƯỜNG HỌC)
Trường mầm non được bố trí ở khối đế chung cư nhà ở xã hội phục vụ nhu cầu của cư dân trong dự án; chỉ tiêu ≥ 0,60m²/người (50 cháu/1.000 người; 12m²/1 cháu).
Trường tiểu học (cấp 1):
- Chỉ tiêu: ≥ 0,65m²/người (65 học sinh/1.000 người; 10m2/1 học sinh)
- Mật độ xây dựng tối đa: 40,0%
- Tầng cao xây dựng tối đa: 5 tầng + 1 hầm
- Chiều cao xây dựng tối đa: 25,0m
- Hệ số sử dụng đất tối đa: 3,0 lần
- Tỷ lệ đất cây xanh tối thiểu: 30%
- Khoảng lùi xây dựng: 4m.
Trường trung học cơ sở (cấp 2):
- Chỉ tiêu: ≥ 0,55m²/người (55 học sinh/1.000 người; 10m2/1 học sinh)
- Mật độ xây dựng tối đa: 40,0%
- Tầng cao xây dựng tối đa: 5 tầng + 1 hầm
- Chiều cao xây dựng tối đa: 25,0m
- Hệ số sử dụng đất tối đa: 3,0 lần
- Tỷ lệ đất cây xanh tối thiểu: 30%
- Khoảng lùi xây dựng: 4m
ĐẤT XÂY DỰNG XANH & TIỆN ÍCH CÔNG CỘNG
- Đất cây xanh đơn vị ở tối thiểu: 2,0m²/người
- Sân chơi tối thiểu: 0,5m²/người
- Sân luyện tập tối thiểu: 0,3 ha/công trình
- Mật độ xây dựng tối đa: 5,0%
- Tầng cao xây dựng tối đa:1 tầng
- Chiều cao xây dựng tối đa: 7,0 m.
CÔNG TRÌNH Y TẾ
Bố trí ở khối đế chung cư nhà ở xã hội phục vụ nhu cầu của cư dân trong đồ án; quy mô diện tích công trình y tế tối thiểu 500m²/trạm.
CÔNG TRÌNH VĂN HÓA THỂ THAO
Bố trí ở khối đế chung cư nhà ở xã hội phục vụ nhu cầu của cư dân trong đồ án; quy mô diện tích công trình văn hóa – thể thao tối thiểu 2.500m²/công trình.
KHU SINH HOẠT CỘNG ĐỒNG
Khu sinh hoạt cộng đồng: 933,0 m2.
HẠNG MỤC KỸ THUẬT
Diện tích trạm xử lý nước thải 835,1m2 (trạm xử lý nước thải tối đa 0,2 ha/1000m3/ngày).
✅ Theo giõi và cập nhật văn bản pháp lý dự án K-Home New City (NOXH Hòa Phú) tại đây

